काठमाडौँ – निर्वाचन आयोगले समानुपातिक निर्वाचन प्रणाली अन्तर्गत प्रतिनिधिसभा तर्फका उम्मेदवारको बन्दसूची सार्वजनिक गरेको छ। आयोगले सबै राजनीतिक दलहरुको समानुपातिक सूची आइतबार बिहान सार्वजनिक गरेको हो।
आगामी मंसिर ४ को निर्वाचनका लागि समानुपातिकतर्फ प्रतिनिधिसभाका लागि ४८ दलले बन्दसूची पेस गरेका थिए।
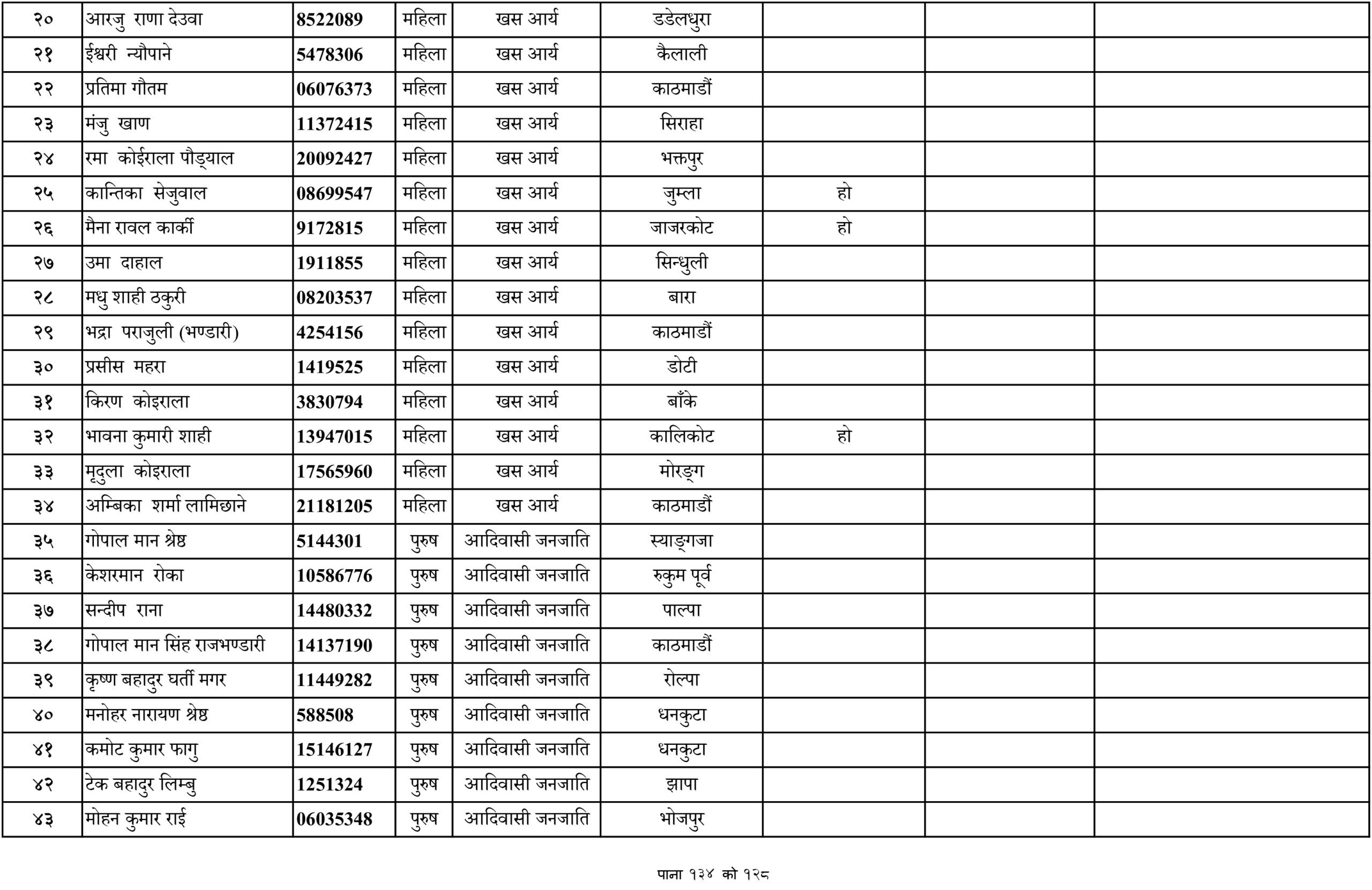
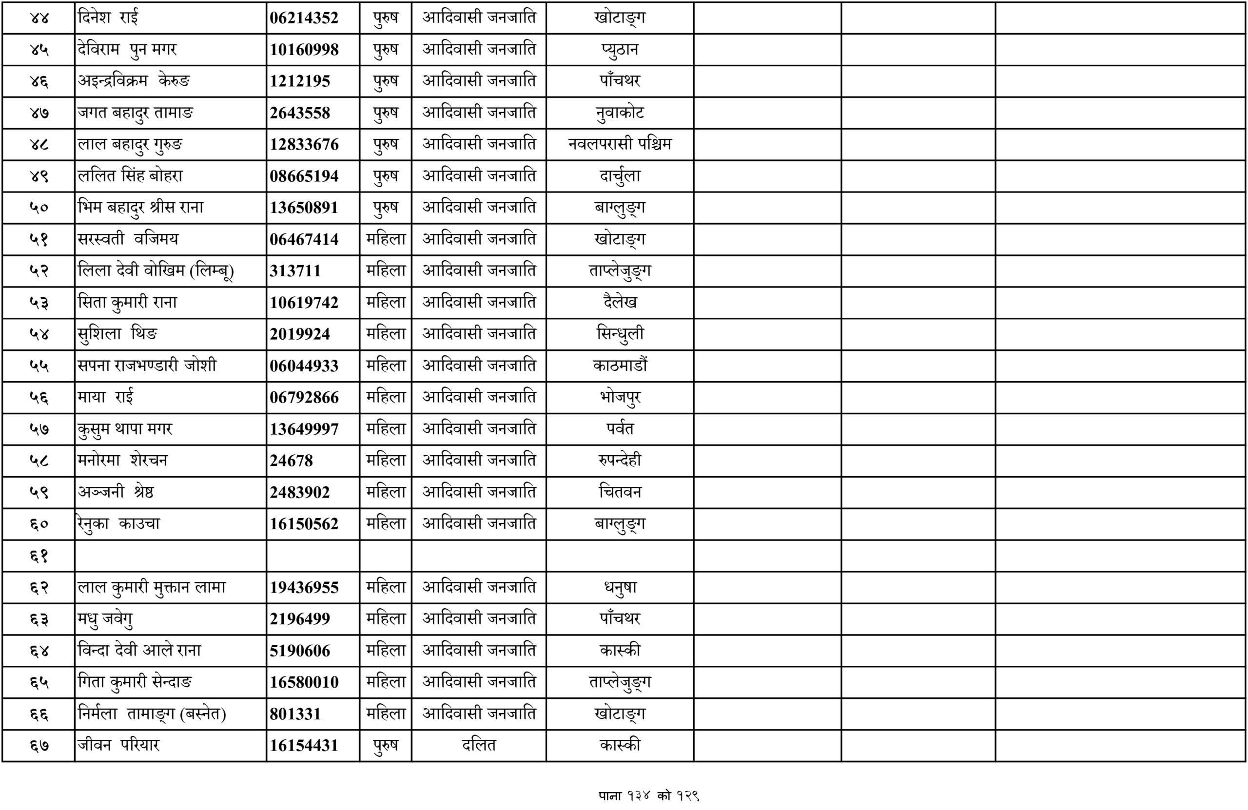
हेर्नुहोस् नेपाली कांग्रेसको समानुपातिक सूची-









